Aufgabe 1:
O-Notation
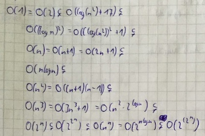
Ordnen Sie folgende Mengen von Funktionen bezüglich Inklusion und stellen Sie Gleichheiten fest! Dabei steht log für den abgerundeten Logarithmus zur Basis 2 mit log(0) =def 0. Eine Begründung der Inklusionen und Gleichheiten ist hier nicht gefordert.
Ordnen Sie folgende Mengen von Funktionen bezüglich Inklusion und stellen Sie Gleichheiten fest! Dabei steht log für den abgerundeten Logarithmus zur Basis 2 mit log(0) =def 0. Eine Begründung der Inklusionen und Gleichheiten ist hier nicht gefordert.
- Unteraufgabe
90%

log(n) fehlt
Aufgabe 2:
While-Programm für prodZ mit Laufzeit O(n3)
Gesucht ist ein While-Programm (mit Syntaxprüfer testen!), das die Funktion prodZ : Z × Z → Z mit prodZ(x, y) = x·y in der Zeit O(n3) berechnet. Geben Sie eine nachvollziehbare Abschätzung der Laufzeit Ihres Programms in Abhängigkeit der Eingabelänge n = |x| + |y| an, wobei Sie die O-Notation verwenden dürfen.
Gesucht ist ein While-Programm (mit Syntaxprüfer testen!), das die Funktion prodZ : Z × Z → Z mit prodZ(x, y) = x·y in der Zeit O(n3) berechnet. Geben Sie eine nachvollziehbare Abschätzung der Laufzeit Ihres Programms in Abhängigkeit der Eingabelänge n = |x| + |y| an, wobei Sie die O-Notation verwenden dürfen.
84%
def prodZ(x,y):
r = 0
# Vorzeichen ermitteln
negativ = 1
if (x < 0):
x = (0 - x)
negativ = (0 - negativ)
if (y < 0):
y = (0 - y)
negativ = (0 - negativ)
# Gross/Klein-Zahl vertauschen
if (y > x):
r = x
x = y
y = r
r = 0
# Rekursiven Prozess anschieben
r = prodZrek1(x,y,1)
# Vorzeichen korrigieren
if (negativ == -1):
r = (0 - r)
return r
def prodZrek1(zahl1,zahl2,faktor):
r = 0
zehnerpotenz = faktor
i = 1
while (i<10):
zehnerpotenz = (zehnerpotenz + faktor)
i = (i+1)
if (zehnerpotenz <= zahl2):
#print('Rekursion bei ',zehnerpotenz)
r = prodZrek1(zahl1, zahl2, zehnerpotenz)
n = 0
muliplikationsFaktor = prodZrek2(zahl1,1,faktor)
zahl2 = remove(zahl2,zehnerpotenz)
#print('Debug ',r,' bekommt man vom faktor ',faktor,', zahl2=',zahl2)
while (faktor <= zahl2):
r = (r + muliplikationsFaktor)
zahl2 = (zahl2 - faktor)
n = (n+1)
#print('Rekursion bei ',faktor,' mit n=',n,' und r=',r)
return r
def prodZrek2(zahl,potenz,limit):
r = zahl
i = 1
if (limit > potenz):
while (i < 10):
r = (r + zahl)
i = (i+1)
potenzneu = potenz
i = 1
while (i < 10):
potenzneu = (potenzneu+potenz)
i = (i+1)
if (potenzneu < limit):
r = prodZrek2(r,potenzneu,limit)
return r
def remove(zahl, potenz):
r = zahl
potenzneu = potenz
i = 1
while (i<10):
potenzneu = (potenzneu + potenz)
i = (i+1)
if (zahl >= potenzneu):
r = remove(zahl,potenzneu)
while (potenz <= r):
r = (r - potenz)
return r
#print(prodZ(9**550, 8**550))
Dem Korrektor fehlte eine Begründung, wie wir auf die oben genannte Laufzeit gekommen sind. Das gab marginal Punkteabzug. Sonst war alles richtig.
Aufgabe 3:
Vereinigung von Wertebereichen
Seien f : N → N und g : N → N berechenbare Funktionen.
Seien f : N → N und g : N → N berechenbare Funktionen.
- Geben Sie explizit eine berechenbare Funktion h : N → N mit Wh = Wf ∪ Wg an!
- Zeigen Sie Wh⊆Wf ∪ Wg!
- Zeigen Sie Wh⊇Wf ∪ Wg!
100%
Aufgabe 4:
RE ist abgeschlossen unter ∩
Beweisen Sie folgende Implikation für alle A, B ⊆ N.
A,B ∈ RE =⇒ A ∩ B ∈ RE
Beweisen Sie folgende Implikation für alle A, B ⊆ N.
A,B ∈ RE =⇒ A ∩ B ∈ RE
0%
Loesung- Loesung wird noch gesucht!
Zusatzaufgabe 1:
Programmieren ohne Schleifen
Schreiben Sie ein While-Programm ohne While-Schleifen und ohne For-Schleifen, das die im Beispiel 2.7 definierte Funktion prim berechnet.
Schreiben Sie ein While-Programm ohne While-Schleifen und ohne For-Schleifen, das die im Beispiel 2.7 definierte Funktion prim berechnet.
0%
Loesung- Loesung wird noch gesucht!
Zusatzaufgabe 2:
Effiziente While-Programme für prodZ und divZ
Gesucht sind While-Programme (mit Syntaxprüfer testen!) mit Laufzeit O(n) für die folgenden Funktionen.
Gesucht sind While-Programme (mit Syntaxprüfer testen!) mit Laufzeit O(n) für die folgenden Funktionen.
- prodZ: Z×Z → Z mit prodZ(x,y) = x·y
- divZ:Z×Z→Z mit divZ(x,y)= ⌊x/y⌋ falls y≠0 ; n.d. sonst
0%
Loesung- Loesung wird noch gesucht!
Zusatzaufgabe 3:
While-Programm zum Sortieren
Gesucht ist ein While-Programm (mit Syntaxprüfer testen!) mit Laufzeit O(nlogn), das eine Liste von ganzen Zahlen sortiert. Die Ein- und Ausgaben sind mit der Listencodierung (Seite 68) codiert. Erklären Sie das von Ihnen verwendete Verfahren und begründen Sie die Laufzeit O(n log n) Ihres Programms.
Gesucht ist ein While-Programm (mit Syntaxprüfer testen!) mit Laufzeit O(nlogn), das eine Liste von ganzen Zahlen sortiert. Die Ein- und Ausgaben sind mit der Listencodierung (Seite 68) codiert. Erklären Sie das von Ihnen verwendete Verfahren und begründen Sie die Laufzeit O(n log n) Ihres Programms.
0%
Loesung- Loesung wird noch gesucht!